The photos you provided may be used to improve Bing image processing services.
Privacy Policy
|
Terms of Use
Can't use this link. Check that your link starts with 'http://' or 'https://' to try again.
Unable to process this search. Please try a different image or keywords.
Try Visual Search
Search, identify objects and text, translate, or solve problems using an image
Drag one or more images here,
upload an image
or
open camera
Drop image anywhere to start your search
To use Visual Search, enable the camera in this browser
All
Search
Images
Inspiration
Create
Collections
Videos
Maps
News
More
Shopping
Flights
Travel
Notebook
Top suggestions for Aircraft Nonlinear Dynamic Inversion
Linear and
Nonlinear Graphs
Nonlinear Dynamics
and Chaos
Nonlinear
System
Nonlinear
Transformation
Nonlinear
Control
Nonlinear Dynamics
Journal
Linear vs
Nonlinear
Nonlinear
Control Systems
Nonlinear
Time
Nonlinear
Learning
Nonlinear
Function Examples
Nonlinear
Data
Nonlinear Dynamics
Book
Nonlinear
Differential Equation
Nonlinear
Physics
Nonlinear
Damping
Nonlinear
Mechanics
Nonlinear
Math
Non Linear Function
Graph
Nonlinear Dynamic
Systems
What Is Linear and
Nonlinear
Linear and Nonlinear
Functions Examples
Non Linear
Effects
Difference Between Linear and
Nonlinear
Gear with
Nonlinear Dynamics
Dynamic Inversion
Nonlinear
Motion
Dynamical
Systems
System of Nonlinear
Equations Examples
Nonlinear
Mathematics
Linearization of
Nonlinear Systems
Nonlinear Dynamics
SCImago
Nonlinear Dynamics
Conference
Nonlinear Dynamics
Stability
Nonlinear Dynamics
Applications
Nonlinear
Pattern
Non Linear
Perspective
Nonlinear
Waves
Dynamic
Equilibrium Physics
Nonlinear
Model
Steven Strogatz Nonlinear Dynamics
and Chaos
Linear Dynamic
Range
Road Map of
Nonlinear Dynamics
Nonlinear
Beam Dynamics
Logistic
Map
Nonlinear Dynamics
封面
Nonlinear
Novels
Nonlinear Dynamics
and Chaos Theory
Engineering
Nonlinear
Quantum
Dynamics
Explore more searches like Aircraft Nonlinear Dynamic Inversion
Math
Book
Repelling Equilibrium
Point
Chaos
Theory
Chaos
Formula
Linear
Form
Complex
Systems
Chaos
Example
Water La
Carbonara
Gear
Rattle
Olivier
Thomas
Steam
Vapour
Saddle
Point
Structures
期刊封面
高清
NASA
Control
Chart
S Phase
Space
Trading
Tire
Robot
Cover
Definition
Chaos+
Guas
Icon
Chaos
Map
Vehicle
People interested in Aircraft Nonlinear Dynamic Inversion also searched for
Mechanical Systems
Book
Tessellation Logistic
Bifurcation
Chaos
Art
封面
Structural
Phase
Space
Plot
Art
MATLAB
Book
Privacy
Stephen
Strogatz
Stochastic
Chaos Bifurcation
Toys
Discrete-Time
New Version
Autoplay all GIFs
Change autoplay and other image settings here
Autoplay all GIFs
Flip the switch to turn them on
Autoplay GIFs
Image size
All
Small
Medium
Large
Extra large
At least... *
Customized Width
x
Customized Height
px
Please enter a number for Width and Height
Color
All
Color only
Black & white
Type
All
Photograph
Clipart
Line drawing
Animated GIF
Transparent
Layout
All
Square
Wide
Tall
People
All
Just faces
Head & shoulders
Date
All
Past 24 hours
Past week
Past month
Past year
License
All
All Creative Commons
Public domain
Free to share and use
Free to share and use commercially
Free to modify, share, and use
Free to modify, share, and use commercially
Learn more
Clear filters
SafeSearch:
Moderate
Strict
Moderate (default)
Off
Filter
Linear and
Nonlinear Graphs
Nonlinear Dynamics
and Chaos
Nonlinear
System
Nonlinear
Transformation
Nonlinear
Control
Nonlinear Dynamics
Journal
Linear vs
Nonlinear
Nonlinear
Control Systems
Nonlinear
Time
Nonlinear
Learning
Nonlinear
Function Examples
Nonlinear
Data
Nonlinear Dynamics
Book
Nonlinear
Differential Equation
Nonlinear
Physics
Nonlinear
Damping
Nonlinear
Mechanics
Nonlinear
Math
Non Linear Function
Graph
Nonlinear Dynamic
Systems
What Is Linear and
Nonlinear
Linear and Nonlinear
Functions Examples
Non Linear
Effects
Difference Between Linear and
Nonlinear
Gear with
Nonlinear Dynamics
Dynamic Inversion
Nonlinear
Motion
Dynamical
Systems
System of Nonlinear
Equations Examples
Nonlinear
Mathematics
Linearization of
Nonlinear Systems
Nonlinear Dynamics
SCImago
Nonlinear Dynamics
Conference
Nonlinear Dynamics
Stability
Nonlinear Dynamics
Applications
Nonlinear
Pattern
Non Linear
Perspective
Nonlinear
Waves
Dynamic
Equilibrium Physics
Nonlinear
Model
Steven Strogatz Nonlinear Dynamics
and Chaos
Linear Dynamic
Range
Road Map of
Nonlinear Dynamics
Nonlinear
Beam Dynamics
Logistic
Map
Nonlinear Dynamics
封面
Nonlinear
Novels
Nonlinear Dynamics
and Chaos Theory
Engineering
Nonlinear
Quantum
Dynamics
New Version
🎉
What's new
You're invited to try a new version of Image Search, switch to view.
850×1133
researchgate.net
(PDF) Nonlinear Dynamic Inversion …
850×1202
researchgate.net
(PDF) Space-Based Nonlinear Dynami…
640×640
researchgate.net
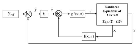
Block diagram of closed-loop aircraft dynamics with the n…
850×1100
researchgate.net
(PDF) Adaptive Nonlinear Flight Con…
Related Products
Nonlinear Dynamics Books
Chaos Theory Models
Systems Analysis
850×1203
researchgate.net
(PDF) Incremental Nonlinear Dynami…
850×278
researchgate.net
Nonlinear dynamic inversion architecture for flight control system: the ...
303×303
researchgate.net
Nonlinear dynamic inversion architecture for flight contr…
585×783
academia.edu
(PDF) Aircraft Spin Recovery, with an…
850×1202
ResearchGate
(PDF) Aircraft Fault-Tolerant Tr…
456×456
ResearchGate
(PDF) Aircraft Fault-Tolerant Trajectory Control Using I…
320×240
slideshare.net
Generalized Dynamic Inversion for Multiaxial Nonli…
850×1129
researchgate.net
L1 Adaptive Structure-Bas…
640×480
slideshare.net
Generalized Dynamic Inversion for Multiaxial Nonlinear Flight …
850×1154
researchgate.net
(PDF) Reconfigurabl…
850×1202
researchgate.net
(PDF) An Enhanced Incr…
1238×844
semanticscholar.org
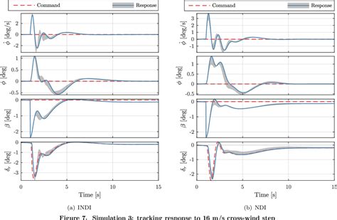
Figure 1 from A Hybrid Incremental Nonlinear Dynamic Inversion Con…
Explore more searches like
Aircraft
Nonlinear Dynamic
Inversion
Math Book
Repelling Equilibrium
…
Chaos Theory
Chaos Formula
Linear Form
Complex Systems
Chaos Example
Water La Carbonara
Gear Rattle
Olivier Thomas
Steam Vapour
Saddle Point
1314×728
semanticscholar.org
Figure 2 from A Hybrid Incremental Nonlinear Dynamic Inversion Control ...
850×1202
researchgate.net
(PDF) Flight Control Design …
1278×834
semanticscholar.org
Figure 7 from Design and Flight Testing of Incremental Nonlinear ...
1268×820
semanticscholar.org
Figure 12 from Design and Flight Testing of Incremental Nonlinear ...
884×410
semanticscholar.org
Figure 1 from Aircraft Fault-Tolerant Trajectory Control Using ...
4089×1382
mdpi.com
Incremental Nonlinear Dynamic Inversion Attitude Control for Helicopter ...
2632×1635
mdpi.com
Incremental Nonlinear Dynamic Inversion Attitude Control for Helicopter ...
2700×1575
mdpi.com
Incremental Nonlinear Dynamic Inversion Attitude Control for Helicopter ...
2715×1726
mdpi.com
Incremental Nonlinear Dynamic Inversion Attitude Control for Helico…
2556×1567
mdpi.com
Incremental Nonlinear Dynamic Inversion Attitude Control for Helicopt…
2273×1435
mdpi.com
Incremental Nonlinear Dynamic Inversion Attitude Control for Helico…
2689×1930
mdpi.com
Incremental Nonlinear Dynamic Inversion Attitude Control for H…
3374×1198
mdpi.com
Incremental Nonlinear Dynamic Inversion Considering Centroid Variation ...
2300×1859
mdpi.com
Adaptive Incremental Nonlinear Dynamic Inversion Control with ...
2422×1934
mdpi.com
Adaptive Incremental Nonlinear Dynamic Inversio…
People interested in
Aircraft
Nonlinear Dynamic
Inversion
also searched for
Mechanical Systems Book
Tessellation Logistic Bifu
…
Chaos
Art
封面
Structural
Phase Space
Plot Art
MATLAB Book
Privacy
Stephen Strogatz
Stochastic
2448×1707
mdpi.com
Adaptive Incremental Nonlinear Dynamic Inversion Control with ...
3199×2571
mdpi.com
Adaptive Incremental Nonlinear Dynamic Inversion Control with ...
2302×1786
mdpi.com
Adaptive Incremental Nonlinear Dynamic Inversion Control with ...
2422×1881
mdpi.com
Adaptive Incremental Nonlinear Dynamic Inversion Control with ...
Some results have been hidden because they may be inaccessible to you.
Show inaccessible results
Report an inappropriate content
Please select one of the options below.
Not Relevant
Offensive
Adult
Child Sexual Abuse
Feedback